网站首页  词典首页


请输入您要查询的字词:

 

字词 富马酸哌丙吡胺
类别 中英文字词句释义及详细解析
释义 富马酸哌丙吡胺

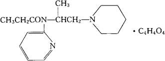
C16H25N3O·C4H4O4=391.47

CAS-13717-04-9

N-(1-甲基-2-哌啶乙基)-N-2-吡啶基丙酰胺基富马酸盐(1∶1)。

N-(1-Methyl-2-piperidinoethyl)-N-2-pyridylpropionamide fumarate(1∶1).

镇痛药。用于神经痛、牙痛、心绞痛、胃肠痛,亦用于烧伤、癌症及手术后疼痛。

富马酸丙吡兰。

Propiram Fumarate,Dirame,Algerit,BAY 4503.

富马酸哌丙吡胺片。

INN & BAN(Propiram),USAN.

随便看

 

离鸟网收录3541549条中英文词条,其功能与新华字典、现代汉语词典、牛津高阶英汉词典等各类中英文词典类似,基本涵盖了全部常用中英文字词句的读音、释义及用法,是语言学习和写作的有利工具。

 

Copyright © 2004-2024 vtrois.com All Rights Reserved
更新时间:2026/4/18 9:17:02