网站首页  词典首页


请输入您要查询的字词:

 

字词 密度的应用
类别 中英文字词句释义及详细解析
释义 密度的应用

1.测质量

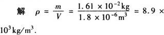
近年来科学家发现宇宙的中子星密度可达1×1014t/m3,一个体积为33.5cm3(大小似一只乒乓球)的中子星的质量是( ).

解 中子星密度 ρ=1×1014t/m3

1×1011kg/cm3

根据 ρ=m/V.

m=ρV

=1×1011kg/cm3×33.5cm3

=3.35×1012kg.

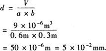
2.求体积

一块长60cm、宽30cm的铝板,用天平称得其质量为24.3g.密度ρ=2.7×103kg/m3.问该铝板的厚度为多少?

故铝板的厚度

3.鉴别物质 物质的密度是一个定值,不同物质密度一般不同,利用ρ=m/V求出某物质的密度后,通过查密度表比较,便能初步确定该物质是什么.

有一枚第一届亚运会纪念币,它的质量为16.1g,体积为1.8cm3请判断这枚纪念币是不是金的.

根据密度表可能查得这种纪念币的成分是铜,不是金.

4.空心体、实心体的判定

一个体积是40cm3的铁球,质量是158g.

这个铁球是空心还是实心的?

解 ❶ 密度比较法:

❷ 质量比较法:

mV=7.9克/厘米3×40厘米3=316克.

∵m球<m实,∴球是空心的.

❸ 体积比较法

随便看

 

离鸟网收录3541549条中英文词条,其功能与新华字典、现代汉语词典、牛津高阶英汉词典等各类中英文词典类似,基本涵盖了全部常用中英文字词句的读音、释义及用法,是语言学习和写作的有利工具。

 

Copyright © 2004-2024 vtrois.com All Rights Reserved
更新时间:2026/4/17 19:09:07