网站首页  词典首页


请输入您要查询的字词:

 

字词 宽度优先搜索法
类别 中英文字词句释义及详细解析
释义 宽度优先搜索法

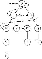
在求解问题中,对搜索树的节点都要逐级考察,只有当一级上的所有节点都被考察以后,如果未搜索到目标,再去考察下一级节点。

这种搜索法称为宽度优先搜索法,或称为横向优先搜索法。如图所示,宽度优先搜索在考虑进行下一级搜索之前,处于上一级的所有节点都必须被检查。

这种方法即使在树结构无穷的或者相当于无穷的情况下也能进行搜索。宽度优先搜索法是一种小心和保守的方法,它的最大优点在于,总能找到从初始节点到目标节点的最短路径。

但这种方法也很费时间。如果所有通向目的地的路径的深度相差无几,那么它比深度优先法更费时间。该方法目前也是作为一种基本搜索方法而得到广泛应用。

随便看

 

离鸟网收录3541549条中英文词条,其功能与新华字典、现代汉语词典、牛津高阶英汉词典等各类中英文词典类似,基本涵盖了全部常用中英文字词句的读音、释义及用法,是语言学习和写作的有利工具。

 

Copyright © 2004-2024 vtrois.com All Rights Reserved
更新时间:2026/4/18 21:20:02