网站首页  词典首页


请输入您要查询的字词:

 

字词 宽叶紫萁
类别 中英文字词句释义及详细解析
释义 宽叶紫萁

【名称出处】:《中国药用孢子植物》

【概况】:

异名 爪哇薇(《中国药用孢子植物》)。

基源 为紫萁蕨科紫萁属植物宽叶紫萁的根茎。

原植物 宽叶紫萁Osmunda javanica Bl.(Plenasium javanicum Presl)

形态 大型陆生蕨类,植株高达2m。叶柄坚硬,有光泽,干后淡褐色,长约60cm,下部粗达1.5cm;叶片坚革质,光滑,多少有光泽,阔长圆形,长达80cm,宽约50cm,一回羽状;羽片25~30对,下部的对生,长达22cm,宽2~2.5cm,上部的互生,渐缩短,长披针形,边缘全缘或波状,略反卷,稀有锯齿;叶脉粗健,二~三回分歧;中部或中部以上的数对羽片能育,长约5~12cm,线形(有时仅上部能育,下部不育),由主脉两侧羽裂成多数卵圆形或长圆形的孢子囊小穗,背面布满暗棕色的孢子囊群。

生境与分布 生于海拔1600m左右的常绿混交林下。分布于广西西南部、云南东南部。

【化学】:

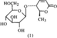
宽叶紫萁中含黄酮类化合物[1-2]:山柰酚、紫云英甙(山柰酚-3葡萄糖甙)、三-O-甲基穗花杉双黄酮(rri-O-methylamentoflavone)、金松双黄酮、4′,,7,7″-四甲基穗花杉双黄酮。还含有紫萁甙(Osmundalin)(1)[3]、分枝紫萁甙(Asiaticalin)、扁枝烯、兰伯松脂酸、金松酮酸二甲酯(Dimethyl sciadinonate)、β谷甾醇、β-谷甾醇葡萄糖甙、二十九-酮-10、二十九醇、十六碳饱和脂肪酸、十八碳不饱和脂肪酸[4]、棕榈酸甲酯、乙酯、含蛋白多糖(分子量51000)[5](高分子量碳水化合物:半乳糖、阿拉伯糖、鼠李糖、鼠李糖-3-甲醚(60、12.9、10%;低分子量蛋白质)。

参考文献 [1] 生药学杂志(日) 1979;33(3):185 [2] 生药学杂志 1978;32(2):126 [3] Tetrahedron 1974;30(15):2307 [4] CA 1975;82:28515p [5] Carbohydr Res 1988;178:320

【药性】:

性味 苦,寒。

功效 清热解毒,止血杀虫。

主治 痈肿疮疖,腮腺炎,外伤出血,漆疮,肠道寄生虫。

用法用量 内服:煎汤,6~12g。外用:嫩苗捣烂敷患处。

。【临床应用】:

《中国药用植物图鉴》:江苏、安徽一带作“贯仲”用。

随便看

 

离鸟网收录3541549条中英文词条,其功能与新华字典、现代汉语词典、牛津高阶英汉词典等各类中英文词典类似,基本涵盖了全部常用中英文字词句的读音、释义及用法,是语言学习和写作的有利工具。

 

Copyright © 2004-2024 vtrois.com All Rights Reserved
更新时间:2026/4/18 9:52:29