网站首页  词典首页


请输入您要查询的字词:

 

字词 容积导电
类别 中英文字词句释义及详细解析
释义 容积导电

把一个电偶(如电池的正负两极)放在一大盆盛有稀盐水的容器中,由于食盐溶液是一个均匀的导电体,便自然有电流自正极流入负极,电流也将布满于整个食盐溶液中,这种导电的方式称为“容积导电”,盛在容器中的导体称为“容积导体”。

人体的组织和体液含有多种电解质,具有导电性能,因此,整个人体可被比拟作为一个导电均匀的容积导体,心脏居于导体之内,心脏每次激动时的电活动则相当于电偶。这样,心脏在除极与复极过程中产生的心电向量所致的电位变化,须经过人体这个容积导体才能从体表测量出来。

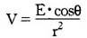
当把电极放置在体表时,就能记录出心脏电活动时的电位变化。根据容积导电的导电特性,容积导体中任何一点的电位可用下列公式来表达:

式中V代表在容积导体中任何一点的电位,E代表电偶的强度,r代表该点与电偶中心的距离,cosθ是方位角θ的余弦。

这个公式说明,容积导体中某点的电位与电偶中心的距离的平方成反比,而与电偶强度和θ角的余弦成正比。当θ=0°时,cosθ=1;若θ=90°时,则cosθ=0,所以电位(V)也等于零。

必须指出:心脏激动过程所产生的电偶,在人体内引起的电位变化并不像实验中的容积导电那样简单。由于心脏激动时所产生的电偶不仅有方向及强度的变化,而且还有位置上的变动;人体并不是一个规则的几何图形,心脏的位置也并非处于人体的中心;心脏周围导电介质的导电性能并非均匀一致;此外,容积导电仅适用于一个电偶处于无限大的容积中,但是躯体对心脏来说,容积并不够大,其周围有著导电性能很差的皮肤;故人体的实际情况与实验室中的容积导电情况不尽相同。

随便看

 

离鸟网收录3541549条中英文词条,其功能与新华字典、现代汉语词典、牛津高阶英汉词典等各类中英文词典类似,基本涵盖了全部常用中英文字词句的读音、释义及用法,是语言学习和写作的有利工具。

 

Copyright © 2004-2024 vtrois.com All Rights Reserved
更新时间:2026/4/18 13:14:14