网站首页  词典首页


请输入您要查询的字词:

 

字词 容器材料的应力计算
类别 中英文字词句释义及详细解析
释义 容器材料的应力计算

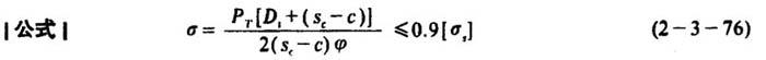
[说明]为了防止水压试验引起容器的损坏,水压试验时,在试验温度下,所用材料的应力σ应小于屈服极限[σ5]的90%,否则应增加壁厚。

式中 So——考虑腐蚀裕量时容器的壁厚(m)

[σ5]——材料的屈服极限(Pa)

其它同上

pr——水压试验压力(Pa),见表2-3-14

其它同前

表2-3-14 容器的水压试验的压力

随便看

 

离鸟网收录3541549条中英文词条,其功能与新华字典、现代汉语词典、牛津高阶英汉词典等各类中英文词典类似,基本涵盖了全部常用中英文字词句的读音、释义及用法,是语言学习和写作的有利工具。

 

Copyright © 2004-2024 vtrois.com All Rights Reserved
更新时间:2026/4/18 10:40:48