网站首页  词典首页


请输入您要查询的字词:

 

字词 实集和复集
类别 中英文字词句释义及详细解析
释义 实集和复集

自康托(G.Cantor)在1873年创立朴素集合论后,人们对数学的认识便进入一个新的境界。

但由于1901年罗素(B.Russell)在朴素集合论中发现了悖论,使人们认识到康托给集合下的定义是有缺陷的。为了消除悖论,便促成了策墨罗(E.Zermelo)和弗伦克尔(A.A.Fraenkel)为代表创立的ZF公理系统的诞生。

然而ZF公理系统是不完善的,象连续统假设这样深刻的问题已被证明在该系统内是不可判定的。这是哥德尔(K.Gödel)于1938年和柯恩(P.J.Cohen)于1963年工作的结果。

虽然也还有其它一些公理系统出现,但也未获得令人满意的结果,这就促使人们在某种意义上不得不“从头开始”。

由于给集合下定义会带来麻烦,因此集合被认为是不定义的概念。

它通常被描述成:“一些对象的全体”(以下简称“P”)或类似的说法。而具体解释这些对象时,又要求称作元素的对象要有“确定”、“互异”两个特性。

这与P已有了相当的差别,事实上仅由P所得到的集比我们现在通常所说的集要广泛得多。但也要注意,P中的“一些”是不能用“全部”来替换的。

既然集合是不定义的概念,如何较好地描述这个概念仍然是值得考虑的。即使是这样,集合论在早期的研究中亦产生一些相当重要的结果。

又因这些结果大都涉及到数学的“根基”,因而“数学基础”的研究也随之蓬勃开展起来。

那么,仅由P来讨论集合会得到一些什么结果呢?首先应提到的就是扎德(L.A.Zadeh)在1965年给出的F集。F集的问世,被认为是“确定性”这条限制的破缺,并由此拓宽了经典集合论研究的范围。

然而实际上,F集的重大意义是提示了非整集的存在。

由于P中并未说明元素不许重复,因此若去掉互异性的限制,我们就再次地扩大了集合的范围。因为相同的元素(比如5个3)确确实实可构成一个集合。

这实际上是将集合中每个不同的元素皆以一个数值λt——称为“位置值”来标明。将λt限定在[0,1]中讨论时,便构成F集理论。

λt仅取{0,1}中的值时即为经典集,即经典集中的元素被安排在实轴的0,1两个点上且与论域U有关。一般λt可在高斯平面上找到其对应点。当某集的λt仅取实数时,称某集为实集;当某集的λt取复数时,则称某集为复集。尤其是当集A中的元素ut位置值λt为自然数m时,即表明A中有m个同样的元素ut,而λt的值为-m时,即表明若在A中加入m个ut后,A中ut的“个数”将变为零。

从上面的论述中可以看到:人们对于“两个特性”的认识,是经过认可-破缺-高一层次的认可的曲折过程的。

为了论述方便,下面我们简略地给出复集的定义、运算和一些有关方面的内容。

定义1 所谓给定了论域U={ut|t∈T}上的一个复集A,是指对于都指定了一个复数λ(ut)∈C,叫做ut对A的位置值。映射λ(·):U→C,ut→λ(ut)叫做A的位置函数,其中C为复数集。

特别是

λ(·)∶U→R,则称A为实集;

λ(·)∶U→[0,1],则称A为F集;

λ(·)∶U→{0,1},则称A为经典集;

λ(·)∶U→{0},则称A为零集,记作OU

这里0U是指对U而言的零集,一般若U≠V,则OU≠Ov,当考虑某问题不会引起误解时可省去下标。

至少有一个ut,使λ(·):ut→λ(ut)且λ(ut)∈C-R,则称A为虚集。

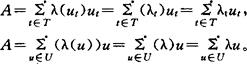
由于复集由其论域和位置函数所刻画,所以复集的表法有下面几种:

可视不同场合而选用最简记法,并且当λ(ut)=1时可省略λ(ut)。

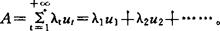
为简明起见,常使用第一行中的记法。其中“∑”表A的所有元素连同位置函数的一个总括。特别指标集T为可数集时,

其中“+”即表A的元素连同位置值的一个列举。

在研究某具体问题时,对于给定的T0,若,有λt=1,则即可作为该问题的论域U0

因此若T0≠T1,常有U0≠U1,这在复集问题的讨论中须特别注意。

复集A中的元素可通过其位置值在高斯平面上表示出来。U上全体复集所构成的集类记作C(U),类似有R(U)等等。

定义2 若n元函数有意义,并设A(j),则,尤其当n=2时,有

其中

由定义2不难证明:

定理1 若f(λt)有意义,则

推论 若f(λt)=0,则f(A)=0。

由定义2及定理1,可得一系列运算法则。

这里从略,在这里再一次强调论域U的重要性。作为一个具体的例子,可以在复集中证明,欧拉公式亦成立:

cosA+isinA=eiA

定义3 设函数F的变元为集,则称F为集函数。当X(j)∈C(U)时,称F(X(1),X(2),…,X(n))=0为n元复集函数(j=1,2,…,n)。

当某集为变元时,可称该集为变量集,否则称常量集。特别,当X∈C(U)和X∈R(U)时,分别称Y=f(X)为一元复集显函数和一元实集显函数。显然,一个集函数由对应关系和论域所确定。

定义4 含有未知集的等式叫做集方程,简称方程。

解出未知集的过程叫解集方程。若某集替换方程中的未知集后可使方程成为恒等式,则该集就称为集方程的集解,简称为解。

解方程的方法与解代数方程或微分方程(若集方程中含有关于未知集的微分运算的话)的解法类似,所不同的只是解方程时要先求出论域U。特别有下面的定理2:

定理2 若一元n次集方程有解,则解的个数为nm,其中m=cardU。

对于实集,可以考虑包含关系。用包含符号:(含于)(真含于)等联结的式子称实集包含式,关于实集包含式有下面的定理3:

定理3 设,则f(A1,A2,…,An(A1,A2,…,An)的充要条件是f(λ1,λ2,…,λn)≤g(λ1,λ2,…,λn)。由该定理可以获得一批有价值的实集包含式。

定义5 设,(λt∈C),若有意义,则称为A的复势并简称为势,仍记作cardA。

显然该定义包含了实集势的定义。

由定理1知|A|为实集,因而有(这里设等式右端有意义),我们称card|A|为复集A的模势。

另外在应用中有时还要考虑复势模:。复势、模势和复势模在复集理论中各有不同的作用。

以上只论述了实集和复集的几个基本方面,实集和复集涉及的范围比较广泛,本文不可能都一一列举到。由于该理论的研究时间不长,预计在今后若干年内将有较大的进展,特别是其逻辑基础与应用将成为研究的热点。

。【参考文献】:

1 Hausdorff F著.集论.张义良,颜家驹译.北京:科学出版社,1960

2 Andrzej Mostowski著.数学基础研究30年.郭世铭等译.武汉:华中工学院出版社,1983

3 Zadeh L A著.模糊集合、语言变量及模糊逻辑.陈国权译.北京:科学出版社,1982

4 朱梧槚编著.几何基础与数学基础.沈阳:辽宁教育出版社,1987

5 孙桂秋.湖南科技大学学报,1987,2∶17~28

6 张锦文,王雪生.连续系统假设.沈阳:辽宁教育出版社,1988

(湖南中医学院分院孙桂秋撰)

随便看

 

离鸟网收录3541549条中英文词条,其功能与新华字典、现代汉语词典、牛津高阶英汉词典等各类中英文词典类似,基本涵盖了全部常用中英文字词句的读音、释义及用法,是语言学习和写作的有利工具。

 

Copyright © 2004-2024 vtrois.com All Rights Reserved
更新时间:2026/4/19 8:15:16