网站首页  词典首页


请输入您要查询的字词:

 

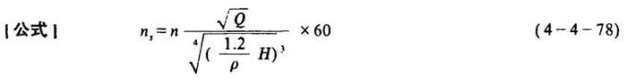
字词 实际状况下风机的比转数计算
类别 中英文字词句释义及详细解析
释义 实际状况下风机的比转数计算

式中 ns——实际状况下的比转数(r/min)

Q、H——实际状况下的风量(m3/s)和风压(Pa)

n——实际状况下风机转速(r/min)

ρ——实际状况下空气的容重(kg/m3)

随便看

 

离鸟网收录3541549条中英文词条,其功能与新华字典、现代汉语词典、牛津高阶英汉词典等各类中英文词典类似,基本涵盖了全部常用中英文字词句的读音、释义及用法,是语言学习和写作的有利工具。

 

Copyright © 2004-2024 vtrois.com All Rights Reserved
更新时间:2026/4/19 12:58:39