网站首页  词典首页


请输入您要查询的字词:

 

字词 实数运算的两个规律
类别 中英文字词句释义及详细解析
释义 实数运算的两个规律

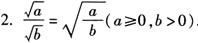
1.(a≥0,b≥0).

注意 1.公式的逆变形(a≥0,b≥0).

2.公式中的a、b可以是单项式还可以是多项式,但要保证被开方式大于等于零.

例1 一个实数与它的相反数的倒数的和是零,这个实数是( ).

A.0 B.1

C.-1 D.±1

答 D.

[解析] 0没有倒数.

例2 绝对值小于3的所有实数的积为( ).

A.6 B.12

C.0 D.-6

答 C.

[解析] 0的绝对值小于3;

0乘以任何数都得0.

例3 负数a减去它的相反数差是( )

A.2a B.0

C.-2a D.a-1/a

[解析] 有理数范围内的运算法则及公式在实数范围内仍适用.

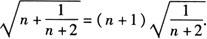
请你将猜想到的规律用含正整数n的代数式表示出来:__.

[解析] 每个等式左边被开方数中第一个加数为连续的自然数,第二个加数是比第一个加数大2的倒数,每个等式右边被开方数恰好为左边被开方数中的第二个加数,前面的系数比其被开方数中的第一个加数大1,所以猜想规律为

随便看

 

离鸟网收录3541549条中英文词条,其功能与新华字典、现代汉语词典、牛津高阶英汉词典等各类中英文词典类似,基本涵盖了全部常用中英文字词句的读音、释义及用法,是语言学习和写作的有利工具。

 

Copyright © 2004-2024 vtrois.com All Rights Reserved
更新时间:2026/4/18 0:00:56