网站首页  词典首页


请输入您要查询的字词:

 

字词 定轴转动刚体的分析方法
类别 中英文字词句释义及详细解析
释义 定轴转动刚体的分析方法

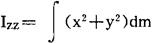
描述刚体的定轴(例如取为z轴)转动只需一个独立变量是那绕轴的转角φ,该刚体的动力学方程为

式中Izz是该刚体绕z轴的转动惯量。

Mz是各外力对z轴的力矩的代数和(或各外力对z轴上任一点的力矩的矢量和的z轴分量)。如果该刚体所受外力(指除轴约束力外的各外力)为保守力,则可得机械能守恒

欲分析定轴转动刚体在定轴上所受到的约束力,则尚需引用动量定理。

从动力学方程求得φ随t的变化关系后,定轴转动刚体上任一点A(距定轴rA)的速度可根据角速度按下式求出

VA=rAω

随便看

 

离鸟网收录3541549条中英文词条,其功能与新华字典、现代汉语词典、牛津高阶英汉词典等各类中英文词典类似,基本涵盖了全部常用中英文字词句的读音、释义及用法,是语言学习和写作的有利工具。

 

Copyright © 2004-2024 vtrois.com All Rights Reserved
更新时间:2026/4/18 2:29:06