网站首页  词典首页


请输入您要查询的字词:

 

字词 定积分
类别 中英文字词句释义及详细解析
释义 定积分

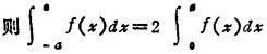
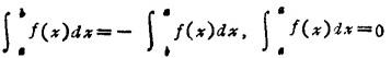
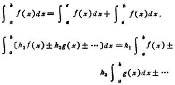
8.2.1 定积分的性质

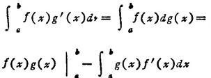
8.2.2 定积分求法

(1)分部积分法

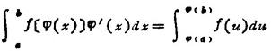
(2)变量替换法

设函数φ(x)在〔a、b〕上有连续的导数φ′(x),函数f(u)在〔φ(a),φ(b)〕上连续并且u从φ(a)单调变化到φ(b),则

(3)利用函数奇偶性求积法

若f(x)为偶函数,

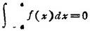
若f(x)为奇函数,则

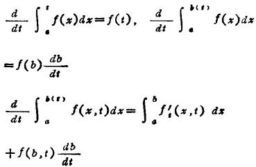
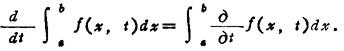
(4)利用积分对参数求导法

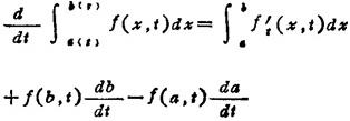
设f(x,t)在有界区域(α≤x≤b,α≤t≤β)上连续,并且存在连续偏导数f(x,t),则当α<t<β时,

8.2.3 含参变量积分的导数

随便看

 

离鸟网收录3541549条中英文词条,其功能与新华字典、现代汉语词典、牛津高阶英汉词典等各类中英文词典类似,基本涵盖了全部常用中英文字词句的读音、释义及用法,是语言学习和写作的有利工具。

 

Copyright © 2004-2024 vtrois.com All Rights Reserved
更新时间:2026/4/20 23:00:43