网站首页  词典首页


请输入您要查询的字词:

 

字词 定率递减折旧法
类别 中英文字词句释义及详细解析
释义 定率递减折旧法

是假定固定资产的价值因使用而减少,每年减少的价值不均衡的一种计提折旧的方法。

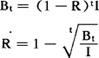
在固定资产使用的前期,每年的减少额比后期多,具体表现为Dt是用一个固定的比率去乘Bt-1所得的乘积,因而B和为它所决定的D都呈现逐年递减的形式。其计算公式为:

式中:1表示资产的原投资额;Bt表示使用期限内第t年年末的帐面值;t=1,2,……n;R表示折旧定率。

随便看

 

离鸟网收录3541549条中英文词条,其功能与新华字典、现代汉语词典、牛津高阶英汉词典等各类中英文词典类似,基本涵盖了全部常用中英文字词句的读音、释义及用法,是语言学习和写作的有利工具。

 

Copyright © 2004-2024 vtrois.com All Rights Reserved
更新时间:2026/4/19 20:43:43