网站首页  词典首页


请输入您要查询的字词:

 

字词 定比分点的坐标
类别 中英文字词句释义及详细解析
释义 定比分点的坐标

的两个端点分别为P1(x1,y1)和P2(x2,y2),点P分所成的比为λ(λ≠—1),则P点的坐标为:

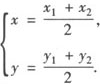
当点P是线段中点时,=,即λ=1,因此,线段中点P的坐标是:

随便看

 

离鸟网收录3541549条中英文词条,其功能与新华字典、现代汉语词典、牛津高阶英汉词典等各类中英文词典类似,基本涵盖了全部常用中英文字词句的读音、释义及用法,是语言学习和写作的有利工具。

 

Copyright © 2004-2024 vtrois.com All Rights Reserved
更新时间:2026/4/18 5:16:02