网站首页  词典首页


请输入您要查询的字词:

 

字词 定期死亡保险趸交纯保费计算
类别 中英文字词句释义及详细解析
释义 定期死亡保险趸交纯保费计算

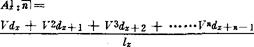
寿险计算方法,其公式(保额为1元)

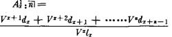
将其分子和分母同乘以Vx

设:Cx=Vx+1dx,Cx+1=Vx+2dx+1……;

D=Vxlx

则:

如再设Mx=Cx+Cx+1+Cx+2+……

其中A代表定期死亡保险保险金额一元的趸缴纯保险费,x代表被保险人投保时的年龄,n代表保险期限,x上面的阿拉伯数字“1”表示定期死亡保险。上述算式中,V为贴现因子(1+i)-1,dx为死亡表中x岁至x+1岁之间一年内死亡的人数,lx为死亡表中生存至x岁的人数。Cx、Dx、Mx常称为寿险精算换算符号。

随便看

 

离鸟网收录3541549条中英文词条,其功能与新华字典、现代汉语词典、牛津高阶英汉词典等各类中英文词典类似,基本涵盖了全部常用中英文字词句的读音、释义及用法,是语言学习和写作的有利工具。

 

Copyright © 2004-2024 vtrois.com All Rights Reserved
更新时间:2026/4/18 3:27:27