网站首页  词典首页


请输入您要查询的字词:

 

字词 定基增减速度
类别 中英文字词句释义及详细解析
释义 定基增减速度

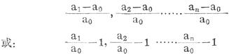
指报告期增减量对某一固定基期水平(通常为最初水平)之比。

或定基发展速度减1(或100%)。正值为增长速度,负值为降低速度。反映被研究现象增减程度的相对指标。

其计算公式为:

式中:a0、a1、a2、…an-1、an代表动态数列中各项水平,其中a0代表最初水平,an代表最末水平。

随便看

 

离鸟网收录3541549条中英文词条,其功能与新华字典、现代汉语词典、牛津高阶英汉词典等各类中英文词典类似,基本涵盖了全部常用中英文字词句的读音、释义及用法,是语言学习和写作的有利工具。

 

Copyright © 2004-2024 vtrois.com All Rights Reserved
更新时间:2026/4/20 4:08:48