网站首页  词典首页


请输入您要查询的字词:

 

字词 完全消耗系数
类别 中英文字词句释义及详细解析
释义 完全消耗系数

亦称“完全投入系数”。

指生产每单位某种最终产品,需要消耗另一种产品的全部数量。它是投入产出法的重要组成部分。如以i(i=1,2,……,n)代表投入产出表中横行的产品部门,j(j=1,2,……,n)代表投入产出表中纵列的产品部门,则完全消耗系数在投入产出表中表现为:j部门生产每单位最终产品,对i部门产品的完全消耗量,其中包括对i部门产品的直接消耗量和通过中间产品产生的对i部门产品的间接消耗量。国民经济各部门之间的生产与消耗,除了有直接联系以外,还有间接联系。

例如,炼钢消耗电力,这是钢对电力的直接消耗。炼钢还需要消耗生铁、煤、耐火砖、冶金设备等。而生产生铁、煤、耐火砖、冶金设备等产品,也消耗了电力。由于生铁等产品都是炼钢所消耗的,所以,生产生铁等产品所消耗的电力是钢对电力的第一次间接消耗。

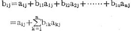
在炼铁、炼焦、制造耐火砖和冶金设备的过程中又消耗了其他产品,生产这些其他产品的过程中,又消耗了电力,这是钢对电力的第二次间接消耗。这种间接消耗还可以有第三次、第四次等。直接消耗与全部间接消耗的总和,就是完全消耗。完全消耗系数的数学公式为:

式中:bij为完全消耗系数;a1j为直接消耗系数;akj为生产每单位j产品直接消耗中间产品k的数量;bik为生产每单位k产品对i产品的完全消耗量;bikakj为通过中间产品k所

产生的每单位j产品对i产品的间接消耗量;为生产

每单位j产品对i产品的全部间接消耗量。

直接消耗系数是根据总产品计算的,而完全消耗系数则是根据最终产品计算的。完全消耗系数的数值大于相应的直接消耗系数的数值。完全消耗系数比直接消耗系数更全面更深入地反映各部门之间的生产联系。

随便看

 

离鸟网收录3541549条中英文词条,其功能与新华字典、现代汉语词典、牛津高阶英汉词典等各类中英文词典类似,基本涵盖了全部常用中英文字词句的读音、释义及用法,是语言学习和写作的有利工具。

 

Copyright © 2004-2024 vtrois.com All Rights Reserved
更新时间:2026/4/18 18:13:39