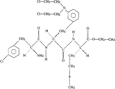
安莫司汀
C29H39Cl2FN4O4S=629.62 CAS-85754-59-2 N-[3-[间-[双(2-氯乙基)氨基]苯基]-N-[3-(对-氟苯基)-L-丙氨酰]-L-丙氨酰]-L-蛋氨酸,乙酯。 N-[3-[m-[bis(2-Chloroethyl)amino]phenyl]-N-[3-(p-fluorophenyl)-L-alanyl]-L-alanyl]-L-methionine,ethyl ester. 抗肿瘤药。 氨巴莫司汀,氨莫司汀。 Ambamustine. INN,USAN.  |