网站首页  词典首页


请输入您要查询的字词:

 

字词 安布茶碱
类别 中英文字词句释义及详细解析
释义 安布茶碱

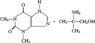
C7H8N4O2·C4H11NO=269.30

CAS-5634-34-4

3,7-二氢-1,3-二甲基1H-嘌呤-2,6-二酮与2-氨基-2-甲基-1-丙醇(1∶1)的复合物。

1H-purine-2,6-dione,3,7-dihydro-1,3-dimethyl-,compd.wtth 2-amino-2-methyl-1-propanol(1∶1).

2-氨基-2-甲基-1丙醇与茶碱的复合物(1∶1)。

Theophylline compound with 2-amino--2-methyl-1-propanol(1∶1).

利尿药。

Ambuphylline,Bufylline.

BAN,USAN.

随便看

 

离鸟网收录3541549条中英文词条,其功能与新华字典、现代汉语词典、牛津高阶英汉词典等各类中英文词典类似,基本涵盖了全部常用中英文字词句的读音、释义及用法,是语言学习和写作的有利工具。

 

Copyright © 2004-2024 vtrois.com All Rights Reserved
更新时间:2026/4/17 15:45:25