网站首页  词典首页


请输入您要查询的字词:

 

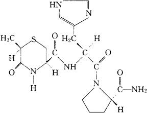
字词 孟替瑞林
类别 中英文字词句释义及详细解析
释义 孟替瑞林

C17H24N6O4S=408.48

CAS-90243-66-6

N-[[(3R,6R)-6-甲基-5-氧代-3-硫代吗啉基]羰基]-L-组氨酰-L-脯氨酰胺。

N-[[(3R,6R)-6-Methyl-5-oxo-3-thiomorpholinyl]carbonyl]-L-histidyl-L-prolinamide.

促甲状腺素释放药。

Montirelin,CG 3703.

INN,USAN.

随便看

 

离鸟网收录3541549条中英文词条,其功能与新华字典、现代汉语词典、牛津高阶英汉词典等各类中英文词典类似,基本涵盖了全部常用中英文字词句的读音、释义及用法,是语言学习和写作的有利工具。

 

Copyright © 2004-2024 vtrois.com All Rights Reserved
更新时间:2026/4/18 7:37:44