网站首页  词典首页


请输入您要查询的字词:

 

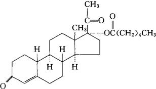
字词 孕诺酮己酸酯
类别 中英文字词句释义及详细解析
释义 孕诺酮己酸酯

C26H38O4=414.58

CAS-1253-28-7

17-[(1-氧己基)氧]-19-去孕甾-4-烯-3,20-二酮。

19-Norpregn-4-ene-3,20-dione,17-[(1-oxohexy)oxy]-.

17-羟基-19-去孕甾-4-烯-3,20-二酮己酸酯。

17-Hydroxy-19-norpregn-4-ene-3-20-dionehexanoate.

孕激素类药。

己酸孕诺酮。

Gestonorone Caproate,SH582,NSC-84054.

1NN,BAN(Gestronlo),USAN.

随便看

 

离鸟网收录3541549条中英文词条,其功能与新华字典、现代汉语词典、牛津高阶英汉词典等各类中英文词典类似,基本涵盖了全部常用中英文字词句的读音、释义及用法,是语言学习和写作的有利工具。

 

Copyright © 2004-2024 vtrois.com All Rights Reserved
更新时间:2026/4/18 14:29:49