网站首页  词典首页


请输入您要查询的字词:

 

字词 孔板浆流产生的压力降的计算
类别 中英文字词句释义及详细解析
释义 孔板浆流产生的压力降的计算

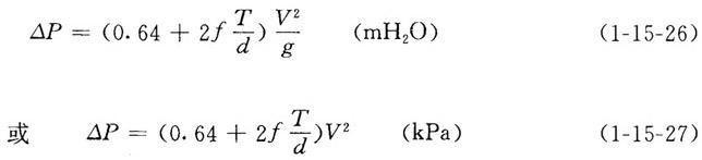
【说明】 孔板上下游产生的压力降可按孔型及其尺寸计算。对于常见的有锥形入口的孔板压力降(见图1-15-8a)可按下式计算。

a-孔有锥形入口 b-上游侧有齿形斜面

【公式】

式中 ΔP——压力降(mH2O或kPa)

f——摩擦系数,对光洁度高的孔板可取0.012~0.015

T——孔板厚度(m),T≥3d并T≥50mm

d——孔板的直径(m),一般为7~20mm

V——孔中流速,可取3.5~5.0m/s

随便看

 

离鸟网收录3541549条中英文词条,其功能与新华字典、现代汉语词典、牛津高阶英汉词典等各类中英文词典类似,基本涵盖了全部常用中英文字词句的读音、释义及用法,是语言学习和写作的有利工具。

 

Copyright © 2004-2024 vtrois.com All Rights Reserved
更新时间:2026/4/18 5:18:49