妥布霉素
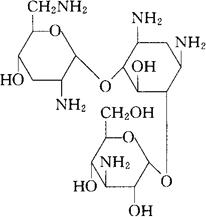
C18H37N5O9=467.52 CAS-32986-56-4 O-3-氨基-3-脱氧-α-D-吡喃葡萄糖基-(1→4)-O-[2,6-二氨基-2,3,6-三脱氧-α-D-核糖-吡喃己基-(1→6)-2-脱氧-L-链霉胺。 O-3-Amino-3-deoxy-α-D-glucopyranosyl-(1→4)-O[2,6-diamino-2,3,6-trideoxy-α-D-ribo-hexopyranosyl-(1→6)-2-deoxy-L-streptamine. 4-[2,6-二氨基-2,3,6-三去氧-α-D-吡喃葡萄糖基]-6-[3-氨基-3-去氧-α-D-吡喃葡萄糖基]-2-去氧链霉胺。 4-[2,6-Diamino-2,3,6-trideoxy-α-D-glycopyranosyl]-6-[3-amino-3-deoxy-α-D-glycopyranosyl]-2-deoxystreptamine. 抗生素类药,抗菌药。 妥布拉霉素。 Tobramycin,Tobramycetin Obracin,Mebramycin Factor 6,Distobram,Gerncbcin,Obramycin,Tobradistin,Tobrex. INN,BAN,BP,DCIT,JAN,USAN,USP,MI.  |