网站首页  词典首页


请输入您要查询的字词:

 

字词 如何把握固定资产更新的时机
类别 中英文字词句释义及详细解析
释义 如何把握固定资产更新的时机

1.最佳使用年限的确定

(1)当年最低费用法

当年最低费用法,是根据当年的折旧费用和维修费用,来选择最优的设备使用年限的方法。

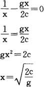
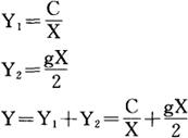
设备在使用过程中需要发生两方面的费用,一是折旧费,当前采用使用年限法计提固定资产折旧,如果不考虑残值和清理费用,那么固定资产的每年折旧费用为原始价值C/使用年限X;二是维修费,因为开始启用不久的设备同使用若干年后的设备相比较,它们所需的维修费用是不同的。所以,假设维修费用每年以等值g增加,则经过x年后就需要维修费gx,取其平均维修费用gx/2。

求y值为最小时的使用年限,需将变量X微分,并令公式等于0,所以:

例如,某设备的原始价值为7,350元,每年维修费用以等值300元增加。其最优使用年限是:

从计算结果来看,该设备的最优使用年限为7年。但考虑到该设备在第六年至第九年这四年中,每年的使用费用都在2,100元左右,相差不大。如果设备比较先进,可将使用期限定为9年。

(2)设备费用方程法

设备费用方程法,是根据购置费用和维修费用,考虑到货币的时间价值,来选择最优的设备使用年限的方法。

先建立设备的费用方程

设某设备的购置费为A,第一、二、三年的维修费用分别为C1、C2、C3,年利率为r第二年的费用换算成第一年的费用时,费用的换算系数(X)为:

第二年的维修费用换算成第一年的费用时,其值为C2X;第三年的维修费用(G3)换算成第一年的费用时,其值为C3X2;依次类推,第n年的维修费用(Cn)换算成第一年的费用时,其值为CnXn-1

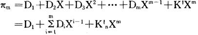
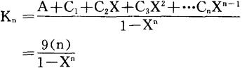
假若设备每n年更新一次,长期使用这种设备时,将各年所需的费用换算成第一年所需的费用后,所需的总费用Kn可由下式确定,即:

Kn=A+C1+C2X+C3X2+……+CnXn-1+

[(A+C1)Xn+C2Xn+1+C3Xn+2+……+CnX2n-1]+……

=(A+C1+C2X+C3X2+……+CnXn-1)(1+Xn+X2n+……)

此式就是设备的费用方程,因为式中|x|<1,所以根据数列求和公式可知:

因而可得:

式中:9(n)=A+C1+C2X+C3X2+…+CnXn-1

当Kn<Kn-1,且Kn<Kn+1,两者同时成立时,说明每隔n年更新一次所需的总费用Kn,比每隔n-1年或n+1年更新一次所需的总费用Kn-1或Kn+1都小,即总费用的最小值Kn0=Kn,它意味著这种设备以每隔n年更新一次时所需的总费用为最小。

仍用上例,已知A=7,350元,C以每年300元的等值增加,假使年利率r=8%则根据长期使用该设备的需要,已经换算成现值的总费用,确定该设备的最优使用年限。

从上表可见:K8=32,542<K7=32,557,

K8=32,542<K9=32,851。所以设备的最优使用年限为8年。

2.更新时机的把握

随著技术的不断进步,在设备尚未到达最优使用限的时候,往往会出现劳动生产率比较高、使用效果比较好的新设备。在这种情况下企业应做出选择。(a)立即更换新设备;(b)等原有设备使用到最优使用年限以后再更新;(c)把原定的设备更新期适当提前。

做这样的选择,就要比较原设备和新设备的购置费用和维修费用。如果新设备的购置费用和维修费用比原设备的购置费用和维修费用低,采用先进技术带来的经济效益能在短期内弥补原设备提前报废的损失,那当然就可以立即更新设备,反之,如果新设备的购置费用和维修费用比较高,带来的经济效益不能在短期内弥补原设备提前报废所带来的损失,那么就要等原设备使用到最优使用年限后再更新,这些都是毋庸置疑的。下面叙述介于上述两种情况之间时,应如何作出更新设备的决策?

设K1n为新设备的Kn0值,即采用新型设备时今后所需的最小总费用值,D1、D2…Dm为今后1、2、…m年里仍用原有设备时每年所需的费用,X为下一年的费用换算成前一年费用的系数,πm为在m年后换用新型设备时所需的总费用。于是可得:

当πm<πm1,πm<πm+1同时成立时,说明采取原有设备再使用m年后,再将其更换为新型设备的方案为最优。

例如,上述A=7,350元的设备,最优使用年限为8年。到目前为止,已用了4年。今出现一种新型设备,效用与该设备相同,但工效较高。新型设备的购置费用为4,000元,维修费用以每月400元的等值增加,年利率仍为8%,在这种情况下,什么时候用新型设备代替原有设备的经济效果最好?

先用设备的费用方程,计算长期使用新型设备时所需的总费用(见下表)。

从该表可见,新型设备在最优使用年限的总费用是:

K1n=(Kn0)新=27,896(元)

今后的维修费用是:

D1=C5=1,500

D2=C6=1,800

D3=C7=2,100

D4=C6=2,400

现将原设备再继续使用时不同年份的总费用列表如下:

从上表可见

D2=27,082<D1=27,329

D2=27,082<D3=27,236

因此,更新设备的最佳方案是:原有设备再继续使用两年(连以前共计使用六年)后再更新。这样原有设备的使用年限比原定的八年提前了两年。

随便看

 

离鸟网收录3541549条中英文词条,其功能与新华字典、现代汉语词典、牛津高阶英汉词典等各类中英文词典类似,基本涵盖了全部常用中英文字词句的读音、释义及用法,是语言学习和写作的有利工具。

 

Copyright © 2004-2024 vtrois.com All Rights Reserved
更新时间:2026/4/17 21:37:42