网站首页  词典首页


请输入您要查询的字词:

 

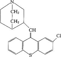
字词 奴氯替珍
类别 中英文字词句释义及详细解析
释义 奴氯替珍

C21H20ClNS=353.91

CAS-36471-39-3

3-[(2-氯噻吨-9-亚基)甲基]奎宁环。

3-[(2-Chlorothioxanthen-9-ylidene)methyl]quinuclidine.

3-[(2-氯-9H-噻吨-9亚基)甲基]-1-氮杂双环[2.2.2]辛烷。

3-[(2-Chloro-9H-thioxanthen-9-ylidene)methyl]-1-azabicyclo[2.2.2]octane.

安定药。

纽克克星,奴克克星。

Nuclotixene,

INN,USAN.

随便看

 

离鸟网收录3541549条中英文词条,其功能与新华字典、现代汉语词典、牛津高阶英汉词典等各类中英文词典类似,基本涵盖了全部常用中英文字词句的读音、释义及用法,是语言学习和写作的有利工具。

 

Copyright © 2004-2024 vtrois.com All Rights Reserved
更新时间:2026/4/18 4:03:44