网站首页  词典首页


请输入您要查询的字词:

 

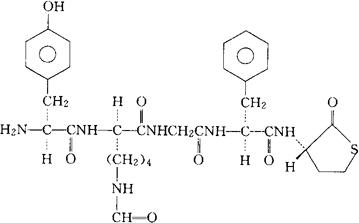
字词 奥西肽
类别 中英文字词句释义及详细解析
释义 奥西肽

C31H40N6OS=640.75

CAS-78410-57-8

L-酪氨酰N-甲酰-D-赖氨酰甘氨酰苯基-N(四氢-2-氧代-3噻吩基)-L-丙氨酰胺。

L-Tyrosyl-N′-formyl-D-lysylglycylphenyl-N-(tetrahydro-2-oxo-3-thienyl)-L-alaninamide.

助消化药。

Ociltide,Hoe 825.

INN,USAN.

随便看

 

离鸟网收录3541549条中英文词条,其功能与新华字典、现代汉语词典、牛津高阶英汉词典等各类中英文词典类似,基本涵盖了全部常用中英文字词句的读音、释义及用法,是语言学习和写作的有利工具。

 

Copyright © 2004-2024 vtrois.com All Rights Reserved
更新时间:2026/4/17 22:55:18