网站首页  词典首页


请输入您要查询的字词:

 

字词 奥腾折帕
类别 中英文字词句释义及详细解析
释义 奥腾折帕

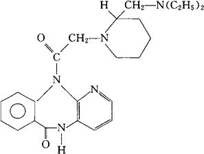
C24H31N5O2=421.54

CAS-100158-38-1

(±)-11-[[2-[(二乙氨基)甲基]哌啶基]乙酰]-5,11-二氢-6H-吡啶并[2,3-b][1,4]苯并二氮杂-6-酮。

(±)-11-[[2-[(Diethylamino)methyl]piperidino]acetyl]-5,11-dihydro-6H-pyrido[2,3-b][1,4]benzodiazepin-6-one.

抗心动过缓药。

Otenzepad.

INN,USAN.

随便看

 

离鸟网收录3541549条中英文词条,其功能与新华字典、现代汉语词典、牛津高阶英汉词典等各类中英文词典类似,基本涵盖了全部常用中英文字词句的读音、释义及用法,是语言学习和写作的有利工具。

 

Copyright © 2004-2024 vtrois.com All Rights Reserved
更新时间:2026/4/18 8:15:09