网站首页  词典首页


请输入您要查询的字词:

 

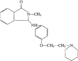
字词 奥脒多林
类别 中英文字词句释义及详细解析
释义 奥脒多林

C22H27N3O2=365.47

CAS-21590-91-0

2-甲基-3-(β-哌啶基-对-乙氧苯胺基)苯并吡咯酮。

2-Methyl-3-(β-piperidino-p-phenetidino)phthalimidine.

抗震颤麻痹药,抗巴金森氏病。

欧米独宁。

Omidoline.

INN,USAN.

随便看

 

离鸟网收录3541549条中英文词条,其功能与新华字典、现代汉语词典、牛津高阶英汉词典等各类中英文词典类似,基本涵盖了全部常用中英文字词句的读音、释义及用法,是语言学习和写作的有利工具。

 

Copyright © 2004-2024 vtrois.com All Rights Reserved
更新时间:2026/4/18 8:55:20