网站首页  词典首页


请输入您要查询的字词:

 

字词 奥替瑞林
类别 中英文字词句释义及详细解析
释义 奥替瑞林

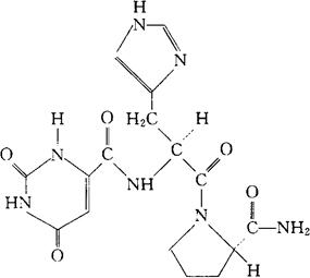
C16H19N7O5=389.37

CAS-62305-86-6

N-[(1,2,3,6-四氢-2,6-二氧代-4-嘧啶基)羰基]-L组胺酰-L-脯氨酰胺。

N-[(1,2,3,6-Tetrahydro-2,6-dioxo-4-pyrimidinyl)carbonyl]-L-histidyl-L-prolinamide.

乳清酰-L-组胺酰-L-脯氨酰胺。

Orotyl-L-histidyl-L-prolinamide.

自垂体前叶分泌释放激素药(促甲状腺素释放药)。

Orotirelin,CG 3509.

INN,USAN.

随便看

 

离鸟网收录3541549条中英文词条,其功能与新华字典、现代汉语词典、牛津高阶英汉词典等各类中英文词典类似,基本涵盖了全部常用中英文字词句的读音、释义及用法,是语言学习和写作的有利工具。

 

Copyright © 2004-2024 vtrois.com All Rights Reserved
更新时间:2026/4/19 11:40:05