网站首页  词典首页


请输入您要查询的字词:

 

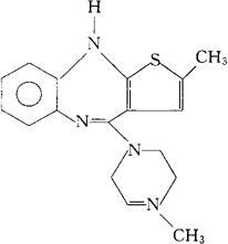
字词 奥兰扎平
类别 中英文字词句释义及详细解析
释义 奥兰扎平

C17H20N4S=312.43

CAS-132539-06-1

2-甲基-4-(4-甲基-1-哌嗪基)-10H-噻嗯并[2,3-b][1,5]-苯并二氮杂

2-Methyl-4-(4-methyl-1-piperazinyl)-10H-thieno[2,3-b][1,5]-benzodiazepine.

抗精神病药。

Olanzapine,LY170053.

USAN.

随便看

 

离鸟网收录3541549条中英文词条,其功能与新华字典、现代汉语词典、牛津高阶英汉词典等各类中英文词典类似,基本涵盖了全部常用中英文字词句的读音、释义及用法,是语言学习和写作的有利工具。

 

Copyright © 2004-2024 vtrois.com All Rights Reserved
更新时间:2026/4/21 13:39:12