网站首页  词典首页


请输入您要查询的字词:

 

字词 奥克立林
类别 中英文字词句释义及详细解析
释义 奥克立林

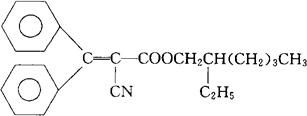
C24H27NO2=361.48

CAS-6197-30-4

2-氰基-3,3-二苯基-2-丙烯酸2-乙基己基酯。

2-Cyano-3,3-diphenyl-2-propenoic acid,2-ethylhexyl ester.

2-氰基-3,3-二苯基丙烯酸2-乙基己基酯。

2-Ethylhexyl 2-cyano-3,3-diphenylacrylate.

防晒药。

Octocrylene.

lNN(Octocrilene),USAN.

随便看

 

离鸟网收录3541549条中英文词条,其功能与新华字典、现代汉语词典、牛津高阶英汉词典等各类中英文词典类似,基本涵盖了全部常用中英文字词句的读音、释义及用法,是语言学习和写作的有利工具。

 

Copyright © 2004-2024 vtrois.com All Rights Reserved
更新时间:2026/4/20 13:29:04