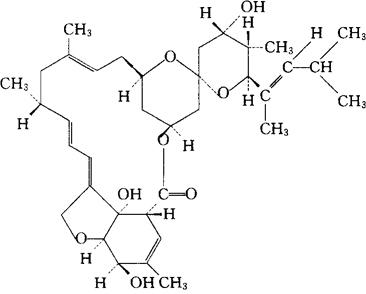
奈马克丁
C36H52O8=612.80 CAS-102130-84-7 [6R,23S,25S(E)]-5-O-二甲基-28-去氧-25-(1,3-二甲基-1-丁烯基)-6,28-环氧-23-羟基美贝霉素B。 [6R,23S,25S(E)]-5-O-Dimethyl-28-deoxy-25-(1,3-dimethyl-1-butenyl)-6,28-epoxy-23-hydroxy,milbemycin B. (6R,23S,25S)-5-O-二甲基-28-去氧-25-[(E)-1,3-二甲基-1-丁烯基]-6,28-环氧-23-羟基美贝霉素B。 (6R,23S,25S)-5-O-Dimethyl-28-deoxy-25-[(E)-1,3-dimethyl-1-butenyl]-6,28-epoxy-23-hydroxymilbemycin B. (2aE,4E,4′S,5′,S,6R,6′S,8E,11R,13R,15S,17aR,20R,20aR,20bS)-6′-[(E)-1,3-二甲基-1-丁烯基]-3′,4′,5′,6,6′,7,10,11,14,15,17a,20,20a,20b-十四碳氢-4′,20,20b-三羟-5′,6,8,19-四甲基螺[11,15-亚甲基-2H,13H,17H-糠基-4,3,2-pq][2,6]苯并二噁环辛癸炔-13,2′-[2H]吡喃]-17-酮。 (2aE,4E,4′S,5′,S,6R,6′S,8E,11R,13R,15S,17aR,20R,20aR,20bS)-6′-[(E)-1,3-Dimethyl-1-butenyl]-3′,4′,5′,6,6′,7,10,11,14,15,17a,20,20a,20b-tetradecahydro-4′,20,20b-trihydroxy-5′,6,8,19-tetramethylspiro[11,15-methano-2H,13H,17H-furo[4,3,2pq][2,6]-benzodioxacyclooctadecin-13,2′-[2H]pyran]l7-one. 抗寄生虫药。 纳马的汀。 Nemadectin,F28249,CL287,088. INN,USAN.  |