网站首页  词典首页


请输入您要查询的字词:

 

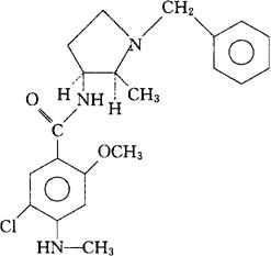
字词 奈莫必利
类别 中英文字词句释义及详细解析
释义 奈莫必利

C21H26ClN3O2=387.91

CAS-93664-94-9

(±)-顺式-N(1-苄基-2-甲基-3-吡咯烷基)-5-氯-4-(甲氨基)-邻-茴香酰胺。

(±)-cis-N(1-Benzyl-2-methyl-3-pyrrolidinyl)-5-chlor4-(methylamino)-o-anisamide.

多巴胺受体激动药。

Nemonapride,Emonapride.

1NN,USAN.

随便看

 

离鸟网收录3541549条中英文词条,其功能与新华字典、现代汉语词典、牛津高阶英汉词典等各类中英文词典类似,基本涵盖了全部常用中英文字词句的读音、释义及用法,是语言学习和写作的有利工具。

 

Copyright © 2004-2024 vtrois.com All Rights Reserved
更新时间:2026/4/19 15:22:16