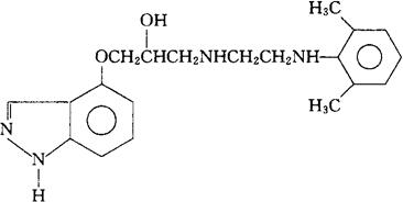
奈拉米诺
C20H26N4O2=354.45 CAS-86140-10-5 (±)-1-(1H-吲唑-4-基氧)-3-[[2-(2,6-二甲苯胺基)乙基]氨基]2-丙醇。 (±)-1-(1H-Indazol-4-yloxy)-3-[[2-(2,6-xylidino)ethyl]amino]-2-propanol. 1-[[2-[(2,6-二甲苯基)氨基]乙基]氨基]-3-(1H-吲唑-4-基氧)-2-丙醇。 1-[[2-[(2,6-Dimethylphenyl)amino]ethyl]amino]-3-(1H-indazol-4-yloxy)-2-propanol. β-受体阻滞药。 Neraminol,Intaetrol,BM 14298. INN,USAN. 
|