网站首页  词典首页


请输入您要查询的字词:

 

字词 夸屈硅烷
类别 中英文字词句释义及详细解析
释义 夸屈硅烷

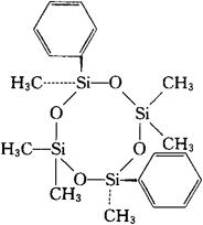
C18H28O4Si4=420.76

CAS-33204-76-1

顺-2,2,4,6,6,8-六甲基-4,8-二苯基环四硅氧烷。

cis-2,2,4,6,6,8-Hexamethyl-4,8-diphenylcyclotetrasiloxane.

抗雄激素类药。治疗前列腺癌。

二苯硅烷。

Quadrosilan,Cisobitan,KABI 1774.

INN,BAN,USAN.

随便看

 

离鸟网收录3541549条中英文词条,其功能与新华字典、现代汉语词典、牛津高阶英汉词典等各类中英文词典类似,基本涵盖了全部常用中英文字词句的读音、释义及用法,是语言学习和写作的有利工具。

 

Copyright © 2004-2024 vtrois.com All Rights Reserved
更新时间:2026/4/19 15:52:18