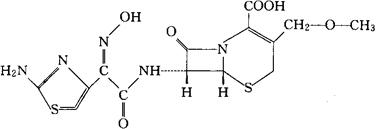
头孢达肟
C14H15N5O6S2=413.42 CAS-80195-36-4 (+)-(6R,7R)-7-[2-(2-氨基-4-噻唑基)乙醛酰胺基]-3-(甲氧甲基)-8-氧氮杂-5-硫杂-1-代双环[4.2.0]辛-2-烯-2-羧酸72(Z)-肟。 (+)-(6R,7R)-7-[2-(2-Amino-4-thiazolyl)glyoxylamido]-3-(methoxymethyl)-8-oxo-5-thia-1-azabicyclo[4.2.0]oct-2-ene-2-carboxylic acid,72(Z)-oxime. 抗生素类药。 Cefdaloxime. INN,USAN.  |