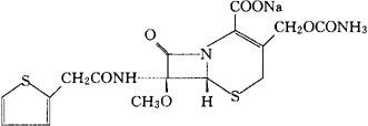
头孢西丁钠
C16H16N3NaO7S2=449.43 CAS-33564-30-6 CAS-35607-66-0(cefoxitin) (6R-顺)-3-[(氨基羰基)氧]甲基]-7-甲氧-8-氧代-7-[(2-噻吩乙酰基)氨]-5-硫杂-1-氮杂双环[4.2.0]辛-2-烯-2-羧酸钠盐。 5-Thia-1-azabicyclo[4.2.0]oct-2-ene-2-carboxylicacid,3-[(aminocarbonyl)oxy]methyl]-7-methoxy-8-oxo 7-[(2-thienylacetyl)amino]-,sodium salt,(6Rcis)-. (6R,7S)-3-(羟甲基)-7-甲氧-8-氧代-7-[2-(2-噻吩基)乙酰胺基]-5-硫杂-1-氮杂双环[4.2.0]辛-2-烯-2-羧酸氨基甲酸酯钠。 Sodium(6R,7S)-3-(hydroxymethyl)-7-methoxy-8-oxo-7-[2-(2-thienyl)acetamido]-5-thia-1-azabicyclo[4.2.0]oct-2-ene-2-carboxylate carbamate(ester). 抗生素类药,抗菌药。 Cefoxitin Sodium,Mefoxin. BAN,USAN,USP.  |