网站首页  词典首页


请输入您要查询的字词:

 

字词 头孢菌素
类别 中英文字词句释义及详细解析
释义 头孢菌素

一种重要的海洋抗菌素。

它是从海洋微生物中分离出来的一种霉菌——顶头孢霉。顶头孢霉中的活性成分是一种对青霉素酶敏感的物质,它对革兰氏阴性细菌有活性,故名“抗菌素N”。对革兰氏阳性细菌有活性的其他头孢菌素,称为“头孢菌素P”。

经研究其活性最大的化合物即头孢菌素C,它也是一种抗菌素,对革兰氏阴性细菌和革兰氏阳性细菌都含广谱的活性。

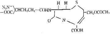
这点与青霉素相似,但与青霉素不同的是,它对破坏青霉素效用的青霉素酶有抵制作用。头孢菌素C含有一个β-内酰胺-二氢噻嗪的环系,其结构为

对许多细菌都有效,无论是口服还是静脉注射,现已广泛用于临床。

随便看

 

离鸟网收录3541549条中英文词条,其功能与新华字典、现代汉语词典、牛津高阶英汉词典等各类中英文词典类似,基本涵盖了全部常用中英文字词句的读音、释义及用法,是语言学习和写作的有利工具。

 

Copyright © 2004-2024 vtrois.com All Rights Reserved
更新时间:2026/4/17 22:04:03