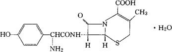
头孢羟氨苄[中]
C16H17N3O5S·H2O=318.40 CAS-66592-87-8 (6R,7R)-7-[(R)-2-氨基-2-(对-羟苯基)乙酰氨基]-3-甲基-8-氧代-5-硫杂-1-氮杂双环[4.2.0]辛-2-烯-2-羧酸-水化合物。 (6R,7R)-7-[(R)-2-Amino-2-(p-hydroxyphenyl)acetamido]-3-methyl-8-oxo-5-thia-1-azabicyclo[4.2.0]oct-2-ene-2-carboxylic acid monohydrate. 抗生素类药。用于泌尿道和呼吸道感染等。 羟氨苄头孢菌素。 Cefadroxil,Bidocef,Cefamox,Duricef,Ultracet,BL-S578. 头孢羟氨苄胶囊。 INN,BAN,DCF,DCIT,JAN,USAN,USP,MI.  |