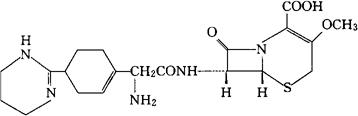
头孢罗替
C20H22N4O4S=414.48 CAS-52231-20-6 (6R,7R)-3-甲基-8-氧代-7-[2-[对-(1,4,5,6-四氢-2-嘧啶基]苯基]乙酰胺]-5-硫杂-1-氮杂双环[4.2.1]辛-2-烯2-羧酸。 (6R,7R)-3-Methyl-8-oxo-7-[2-[p-(1,4,5,6-tetrahydro-2-pyrimidinyl)phenyl]acetamido]-5-thia-1-azabicyclo[4.2.0]oct-2-ene-2-carboxylic acid. 抗生素类药。 头孢罗塔。 Cefrotil,HR 580. INN,USAN.  |