网站首页  词典首页


请输入您要查询的字词:

 

字词 头孢米诺
类别 中英文字词句释义及详细解析
释义 头孢米诺

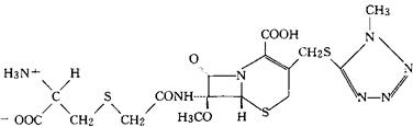
C16H21N7O7S3=519.57

CAS-75481-73-1

(6R,7S)7-[2-[[(S)-2-氨基-2-羧乙基]硫代]乙酰氨基]-7-甲氧-3-[[(1-甲基-1H-四唑基-5-基)硫代]甲基]-8-氧-5-硫杂-1-氮杂双环[4.2.0]辛-2-烯-2-羧酸。

(6R,7S)7-[2-[[(S)-2-Amino-2-carboxyethyl]thio]acetamido]-7-methoxy-3-[[(1-methyl-1H-tetrazo[-5-yl-thio]methyl]-8-oxo-5-thia-1-azabicycol[4.2.0]oct-2-ene-2-cadoxylic acid.

抗生素类药。主要用于对本品敏感的链球菌属,大肠杆菌、肺炎杆菌、变形杆菌属、流感杆菌、拟杆菌属杆菌所致的感染,如败血症、扁桃体炎、扁桃体周围脓肿与气管炎,细支气管炎扩张症(感染时)、慢性呼吸系统疾病的继发感染、肺炎、肺化脓症、肾盂肾炎、膀胱炎、胆囊炎、尖胆管炎、腹膜炎、盆腔腹膜炎、子宫附件炎,子宫内感染、骨盆死腔炎、子宫旁结缔组织炎。

氨羧甲氧头孢菌素。

Cefminox,Meicelin,Antibiotic MT141.

INN,USAN.

随便看

 

离鸟网收录3541549条中英文词条,其功能与新华字典、现代汉语词典、牛津高阶英汉词典等各类中英文词典类似,基本涵盖了全部常用中英文字词句的读音、释义及用法,是语言学习和写作的有利工具。

 

Copyright © 2004-2024 vtrois.com All Rights Reserved
更新时间:2026/4/18 8:48:26