头孢磺啶钠
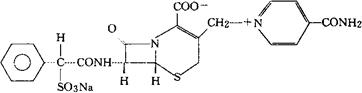
C22Hi9N4NaO8S2=554.52 CAS-52152-93-9 CAS-62587-73-9(cefsulodin) 4-(氨基羰基)-1-[[2-羧-8-氧基-7-[(苯基磺基乙酰)氨基]-5-硫杂-1-氮杂双环[4.2.0]辛-2-烯-3-基]甲基]吡啶鎓,氢氧化物,内盐,单钠盐,[6R-[6α,7β(R*)]]-. Pyridinium,4-(aminocarbonyl)-1-[[2-carboxy-8-oxo-7-[(phenylsulfoacetyl)amino]-5-thia-1-azabicyclo[4.2.0]oct-2-en-3-yl]methyl]hydroxide,inner salt monosodium salt.[6R-6α,7β(R*)]]-. 4-氨基甲酰-1-[(6R,7R)-2-羟-8-氧代-7-[(2R)-2-苯基-2-硫基乙酰胺基]-5-硫杂-1-氮杂双环[4.2.0]辛-2-烯-3-基]甲基吡啶鎓氢氧化物,内盐,单钠盐。 4-Carbamoyl-1-[(6R,7R)-2-carboxy-8-oxo-7-[(2R)-2-phenyl-2-sulfoacetamido]-5-thia-1-azabicyclo[4.2.0]oct-2-en-3-yl]methylpyridinium hydroxide,innersalt,monosodium sait. 抗生素类药,抗菌药。 Cefsulodin Sodium,Abbott-46811,CGP-7174/E. INN,BAN,USAN.  |