网站首页  词典首页


请输入您要查询的字词:

 

字词 头孢甲肟
类别 中英文字词句释义及详细解析
释义 头孢甲肟

【别名】:倍司特克

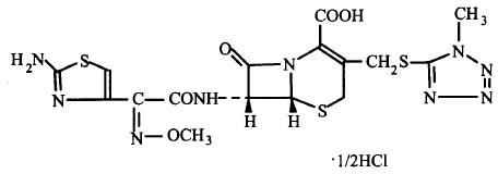
【化学名称】7β-[(Z)-2-氨基噻唑-4-基)-2-甲氧基亚氨基乙酰胺基]-3-[(1-甲基-1H-四唑-5-基)硫甲基]-3-头孢烯-4-羧酸半盐酸盐

【化学结构】

【药理作用】对革兰阴性和阳性的需氧菌和厌氧菌有广谱抗菌活性,其作用为杀菌。对大肠杆菌、肺炎杆菌的抗菌活性比头孢替安(噻乙胺唑头孢菌素,CTM)稍强,明显强于头孢唑啉(CEZ)。对流感杆菌、变形杆菌属、粘质沙雷菌、檬酸细菌属、肠杆菌属的抗菌活力也比CTM 强,显著强于CEZ。对拟杆菌属也显示强大的抗菌活力。革兰阳性菌中对化脓性链球菌、肺炎球菌的抗菌活力比CTM、CEZ强,对消化球菌属、消化链球菌属也显示强大的抗菌活力。对各种细菌产生的β-内酰胺酶稳定,对产生β-内酰胺酶的细菌也具有强大的抗菌活力。作用机理为抑制细菌细胞壁的合成。本品对革兰阴性菌具强抗菌力,是因为其对细菌外膜的通透性好,对β-内酰胺酶稳定,且与青霉素结合蛋白Ⅰa、Ⅰb及Ⅲ的亲和性高,故对细胞壁肽多糖的形成有强烈抑制作用。

【适应证】对本品敏感的链球菌属(肠球菌除外)、肺炎球菌、消化球菌属、消化链球菌属、大肠杆菌、柠檬酸细菌属、克雷伯菌属、肠杆菌属、沙雷氏菌属、变形杆菌属、流感杆菌、拟杆菌属所致下列感染:败血病、手术创口继发感染、肺炎、支气管炎、支气管扩张症感染、慢性呼吸系统疾病继发感染、肺化脓性疾病、脓胸、胆管炎、胆囊炎、肝脓肿、腹膜炎、肾盂肾炎、膀胱炎、前庭大腺炎、子宫内感染、子宫附件炎、骨盆死腔炎、子宫旁组织炎。

【剂量与用法】静注:1~2 g(重症可增至4 g)/d,分2次给药。小儿40~80 mg/(kg·d)(重症可增至160 mg,脑膜炎可增至200 mg)分3~4次。

静滴:成人一次量0.5~2 g可加入补液中于30 min~2h内静滴,儿童可用前述一次量加入补液中于30 min~1h内静滴。

【临床评价】成人1668例总有效率为78.6 %(1311/1668)。败血病有效率为67.6%(25/37)、烧伤、手术创口继发感染76.0%(19/25)、腹膜炎89.7%(96/107)、肺炎81.2%(199/245)、支气管炎76.2 %(77/101)、支气管扩张症感染 51.7 %(15/29)、慢性呼吸系统疾病继发感染69.2%(9/13)、肺化脓性疾病、脓胸80.0%(24/30)、胆管炎86.8%(33/38)、胆囊炎79.1%(53/67)、肝脓肿80.0%(4/5)、肾盂肾炎79.5(209/263)、膀胱炎69.7%(349/501)、前庭大腺炎100%(12/12)、子宫内感染95.8%(69/72)、子宫附件炎98.7%(74/75)、骨盆死腔炎94.7%(36/38)、子宫旁组织炎80.0%(8/10)。

【不良反应】1.休克:罕见休克症状,遇有不适感、口内异常感、喘鸣、眩晕、便意、耳鸣、冒汗等症状时,应停药。

2.过敏:皮疹、荨麻疹、红斑、瘙痒、发热、淋巴管肿胀、关节痛。应停药。

3.肾脏:偶见BUN、肌酐升高、少尿、蛋白尿等肾功损害。应停药。

4.血液:偶见粒细胞减少、嗜酸粒细胞增多,罕见血小板或红细胞减少。其他头孢烯类抗生素有引起溶血性贫血的报告。

5.肝脏:偶见 SGOT、SGPT、ALP、LDH、胆红素上升,罕见 γ-GTP上升。

6.胃肠道:罕见假膜性大肠炎。遇有腹痛、频繁腹泻时应停药。偶见腹泻,罕见恶心、呕吐、食欲不振、腹痛等症状。

7.中枢神经系统:肾功能不全病人大量给药有时引起痉挛等。

8.菌群交替:罕见口炎、念珠菌病。

9.维生素缺乏症:罕见维生素K、维生素B族缺乏症。

10.其他:罕见倦怠感、步态不稳、头痛等。在25353例中,不良反应总发生率为5.25%(1332例)。

【注意事项】1.禁用于对本品有过敏史者。

2.慎用于对头孢烯类、青霉素类有过敏史的病人;本人或双亲、弟兄有易发生变态反应体质的病人;严重肾脏病病人;不能很好进食或靠输液维持营养的病人、老年病人和全身情况差的病人(因可引起维生素K缺乏症)。

对孕妇、早产儿、新生儿的安全性尚未确立。

3.仔细问诊,最好进行皮肤试验,以免发生过敏性休克。

给药期间和停药后至少一周内不能饮酒,否则可引起潮红、恶心、心动过速、多汗和头痛等。

静脉内大量给药罕见血管痛、血栓性静脉炎。

给药时要定期检查肝、肾功能及血液等。

溶解后迅速使用,最多保存12h。

未成熟大鼠皮下给药有使睾丸萎缩、精子形成受抑的报告。

4.其他头孢烯类与速尿等利尿药并用时有肾损伤增强的报告,故并用时应注意肾功能。

5.以本尼迪特试剂、菲林试剂、Clinitest法检查尿糖有时可呈假阳性。直接库姆氏试验有时可呈阳性。

【制剂规格】静注用粉针剂:0.5 g,1 g。均含助溶剂无水碳酸钠。溶解时有二氧化碳气体发生,故置减压玻瓶中。溶解时0.5 g及1 g各注入溶解液约3及5ml,静注时常稀释成10或20ml,静滴时不可用注射用水溶解(因溶解形成的溶液不等渗)。

【生产厂家】日本武田药品工业株式会社。

随便看

 

离鸟网收录3541549条中英文词条,其功能与新华字典、现代汉语词典、牛津高阶英汉词典等各类中英文词典类似,基本涵盖了全部常用中英文字词句的读音、释义及用法,是语言学习和写作的有利工具。

 

Copyright © 2004-2024 vtrois.com All Rights Reserved
更新时间:2026/4/18 7:35:07