网站首页  词典首页


请输入您要查询的字词:

 

字词 头孢甲米四唑
类别 中英文字词句释义及详细解析
释义 头孢甲米四唑

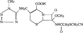
C17H17N7O5S3=471.52

CAS-56796-20-4

(6R,7S)-7-[2-[(氰甲基)硫代]乙酰胺基]-7-甲氧基-3-[[1-甲基1H-四唑-5-基)-硫代]甲基]-8-氧-5-硫杂-1-氮杂双环[4.2.0]辛-2-烯-2-羧酸。

(6R,7S)-7-[2-[(Cyanomethyl)thio]acetamido]-7-methoxy-3-[[(1-methyl-1H-tetrazol-5-yl)thio]methyl]-8-oxo-5-thia-1-azabicyclo[4.2.0]oct-2-ene2-carboxylic acid.

抗生素类药。

头孢四唑。

Cefmetazole.

INN,JAN,USAN,MI.

随便看

 

离鸟网收录3541549条中英文词条,其功能与新华字典、现代汉语词典、牛津高阶英汉词典等各类中英文词典类似,基本涵盖了全部常用中英文字词句的读音、释义及用法,是语言学习和写作的有利工具。

 

Copyright © 2004-2024 vtrois.com All Rights Reserved
更新时间:2026/4/18 3:48:07