网站首页  词典首页


请输入您要查询的字词:

 

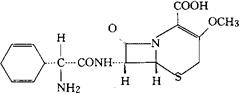
字词 头孢洛定
类别 中英文字词句释义及详细解析
释义 头孢洛定

C16H19N3O3S=365.40

CAS-51762-05-1

(6R,7R)-7-[(R)-2-氨基-2-(1,4-环己二烯-1-基)乙酰胺基]-3-甲氧-8-氧代-5-硫杂-1-氮杂双环[4.2.0]辛-2-烯-2-羧酸。

(6R,7R)-7-[(R)-2-Amino-2-(1,4-cyclohexadien-1-yl)acetamido]-3-methoxy-8-oxo-5-thia-1-azabicyclo[4.2.0]oct-2-ene-2-carboxylic acid.

抗生素类药。

头孢沙定。

Cefroxadine,Oraspor.

INN,DCIT,JAN,USAN,MI.

随便看

 

离鸟网收录3541549条中英文词条,其功能与新华字典、现代汉语词典、牛津高阶英汉词典等各类中英文词典类似,基本涵盖了全部常用中英文字词句的读音、释义及用法,是语言学习和写作的有利工具。

 

Copyright © 2004-2024 vtrois.com All Rights Reserved
更新时间:2026/4/18 11:25:15