网站首页  词典首页


请输入您要查询的字词:

 

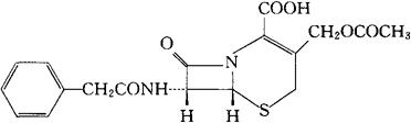
字词 头孢洛仑
类别 中英文字词句释义及详细解析
释义 头孢洛仑

C18H18N2O6S=390.41

CAS-859-07-4

7-(苯乙酰胺基)头孢烷酸。

7-(Phenylacetamido)cephalosporanic acid.

3-(乙酰氧甲基)-8-氧代-7-(苯乙酰氨基)-5-硫杂-1-氮杂双环[4.2.0]辛-2-烯-2-羧酸。

3-(Actoxymethyl)-8-oxo-7-(phenylacetamido)-5-thia-1-azabicylo[4.2.0]oct-2-ene-2-carboxylic acid.

抗生素类药。

苄头孢菌素。

Cefaloram.

INN,BAN,NFN,USAN.

随便看

 

离鸟网收录3541549条中英文词条,其功能与新华字典、现代汉语词典、牛津高阶英汉词典等各类中英文词典类似,基本涵盖了全部常用中英文字词句的读音、释义及用法,是语言学习和写作的有利工具。

 

Copyright © 2004-2024 vtrois.com All Rights Reserved
更新时间:2026/4/18 7:08:55