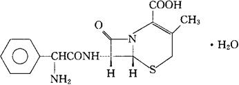
头孢氨苄[典]
C16H17N3O4S·H2O=356.40 CAS-23325-78-2 (6R,7R)-7-[(R)-2-氨基-2-苯乙酰胺基]-3-甲基-8-氧代-5-硫杂-1-氮杂双环[4.2.0]辛-2-烯-2-羧酸一水化合物。 (6R,7R)-7-[(R)-2-Amino-2-phenylacetamido]-3-methyl-8-oxo-5-thia-1-azobicyclo[4.2.0]oct-2-ene2-carboxylic acid monohydrate. 抗生素类药。用于大肠杆菌、奇异变形杆菌引起的泌尿系统感染及链球菌引起的呼吸系统感染。 苯甘孢霉素,苯甘头孢霉素,头孢霉素Ⅳ,头孢力新,先锋霉素Ⅳ,头孢立新。 Cephalexin,Keflex,Keforal,Cefalexin. 头孢氨苄片(先锋霉素Ⅳ号片,苯甘孢霉素片),头孢氨苄胶囊(苯甘孢霉素胶囊)。 INN,BAN,BP,DCF,DCIT,JP,JAN,NFN,USAN,USP,MI.  |