头孢氨噻肟钠
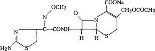
C16H16N5NaO7=477.44 CAS-64485-93-4 (6R,7R)-7-[2-(2-氨基-4-噻唑基)乙醛酰胺基]-3-(羟甲基)-8-氧代-5-硫杂-1-氮杂双环[4.2.0]辛-2-烯-2-羧酸钠72-(Z)-[O-甲肟)乙酸酯。 Sodium(6R,7R)-7-[2-(2-Amino-4-thiazolyl)glyoxylamido]-3-(hydroxymethyl)-8-oxo-5-thia-1-azabicycclo[4.2.0]oct-2-ene-2-carboxylate 72-(Z)-(O-methyloxime)acetate(ester). 抗生素类药。用于耐药性革兰氏阴性杆菌的感染。 也用于败血症,心内膜炎,脑膜炎和其它全身感染。头孢噻肟钠。 Cefotaxime Sodium,Claforan. 注射用头孢氨噻肟钠,注射用孢噻肟钠。 INN,USAN,USP,MI.  |