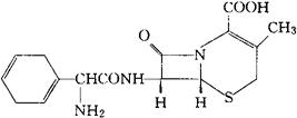
头孢来定
C16H19N3O4S=349.40 CAS-38821-53-3 (6R,7R)-7-[(R)-2-氨基-2-(1,4-环己二烯-1-基)乙酰胺基]-3-甲基-8-氧代-5-硫杂-1-氮杂双环[4.2.0]辛-2-烯-2-羧酸。 (6R,7R)-7-[(R)-2-Amino-2-(1,4-cyclohexadien-1-yl)acetamido]-3-methyl-8-oxo-5-thia-1-azabicyclo[4.2.0]oct-2-ene-2-carboxylic acid. 抗生素类药。 头孢拉定。 Cephradine,Anspor,Velosef,Cefradine. INN,BAN,BP,DCIT,JAN,NFN,USAN,USP,MI.  |