网站首页  词典首页


请输入您要查询的字词:

 

字词 头孢替坦
类别 中英文字词句释义及详细解析
释义 头孢替坦

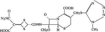
C17H17N7O8S4=575.60

CAS-69712-56-7

(6R,7R)-4-[[2-羧基7-甲氧-3-[[(1-甲基-1H-四唑-5-基)硫代]甲基]-8-氧代-5-硫杂-1-氮杂双环[4.2.0]-辛-2-烯-7-基]氨基甲酰]-1,3-二硫环丁烷-△2,α-丙二酰胺酸。

(6R,7R)-4-[[2-Carboxy-7-methoxy-3-[[(1-methyl-1H-tetrazol-5-yl)thio]methy]-8-oxo-5-thia1-azabicyclo[4.2.0]oct-2-ene-7-yl]carbamoyl]-1,3-dithietane-△2,α-malonamic acid.

抗生素类药。

Cefotetan,Cefotan.

INN,BAN,DCIT,JAN,USAN,MI.

随便看

 

离鸟网收录3541549条中英文词条,其功能与新华字典、现代汉语词典、牛津高阶英汉词典等各类中英文词典类似,基本涵盖了全部常用中英文字词句的读音、释义及用法,是语言学习和写作的有利工具。

 

Copyright © 2004-2024 vtrois.com All Rights Reserved
更新时间:2026/4/18 2:08:03