网站首页  词典首页


请输入您要查询的字词:

 

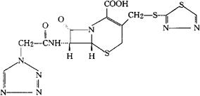
字词 头孢替唑
类别 中英文字词句释义及详细解析
释义 头孢替唑

C13H12N8O4S3=440.47

CAS-26973-24-0

(6R,7R)-8-氧代-7-[2-(1H-四唑-1-基)乙酰胺基]-3-[(1,3,4-噻二唑-2-基硫代)甲基]-5-硫杂-1-氮杂双环[4.2.0]辛-2-烯-2-羧酸。

(6R,7R)-8-Oxo-7-[2-(1H-tetrazol-l-yl)acetamido]-3-[(1,3,4-thiadiazol-2-ylthio)methy]-5-thia-1-azabicyclo[4.2.0]oct-2-ene-2-carboxylic acid.

抗生素类药。

去甲唑啉头孢菌素。

Ceftezole,Dimethylcefazolin,FR-10123.

INN,USAN.

随便看

 

离鸟网收录3541549条中英文词条,其功能与新华字典、现代汉语词典、牛津高阶英汉词典等各类中英文词典类似,基本涵盖了全部常用中英文字词句的读音、释义及用法,是语言学习和写作的有利工具。

 

Copyright © 2004-2024 vtrois.com All Rights Reserved
更新时间:2026/4/18 8:28:40